[本站讯]山东大学参与并负责热系统管理的AMS太空粒子实验取得重要进展,再次获得暗物质探测的重大发现。2014年9月18日,热科学中心程林教授受丁肇中教授委托,公布了新的实验结果,宣布AMS已发现1090亿个电子与反电子,测量的反电子分率在停止增加时的能量为275±32 GeV,这是半世纪以来的宇宙射线实验首次得到反电子分率的最大值。这一结果与2013年4月AMS项目第一次公布的实验结果将共同成为人类探测暗物质的重要里程碑。
AMS在太空运行40多个月后,已搜集了540亿个宇宙射线数据。至今已分析了410亿个数据。其中,测量了能量在5亿至5千亿电子伏特之间的反电子分率(即反电子数占电子与反电子总数之比例),发现此分率在80亿电子伏特时开始快速增加,显示了有新的反电子源的存在。反电子分率随能量增加而增加的速率被精确测出,无明显的峰值存在。反电子分率停止增加的能量(即分率达最大值时的转折点能量)为275±32 GeV(1GeV为10亿电子伏特)。多出的反电子分率在百分之三的误差内各向同性,证实高能量的反电子可能不是来自某些特定的方向。

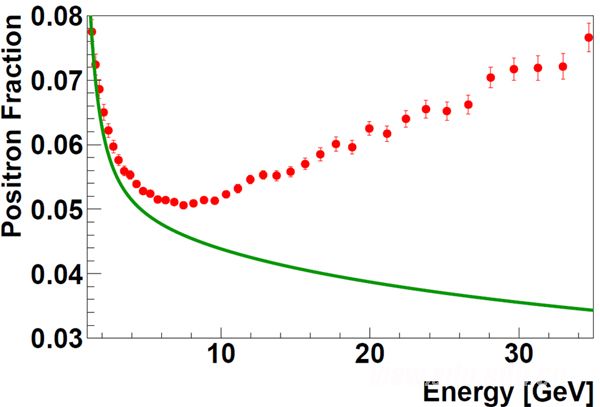
图1 AMS测量的反电子分率(红圈)与由平常宇宙射线碰撞的预测(绿线)比较显示在80亿电子伏特(8GeV)以上反电子分率开始快速增加(此增加说明新反电子源的存在)

图2 上图显示AMS测量的反电子分率的斜率(红圈)以及在最高能区的直线拟合(蓝线),数据显示在275±32 GeV斜率交于零。下图显示测量的反电子分率随能量变化的函数以及最大值的位置
反电子分率的精确测量对了解暗物质的来源非常重要。通常,宇宙射线碰撞产生的反电子其分率随能量增加而稳定下降。暗物质是碰撞将产生多余的反电子,这些反电子可以由反电子分率的测量来反映出来,而暗物质的本质会唯一的反映在反电子分率多出的特征上。

图3 电子流量(蓝点、左标)与反电子流量(红点、右标)的差别

图4 电子流量与反电子流量的谱指数随能量变化的函数
AMS探测的新结果显示暗物质的四项特征已被确定。它们与质量在1兆电子伏特量级的暗物质粒子(超微中子)相符。为确定此观测到的新现象是源于暗物质还是源于脉动星等天体,AMS正在测量反电子分率在转折点之上的下降速率(暗物质的第五项特征),以及测量反质子分率(反质子数占质子与反质子总数的比例),从而加以验证。
同时,AMS实验的精密测量结果显示电子与反电子不论在流量的强度或随能量的变化上均显著不同。
AMS探测的结果显示电子流量与反电子流量均无法由单一不变的谱指数描述,特别是在20到200 GeV之间,反电子流量随能量变化的速率高于电子流量。这是反电子分率多出是源于高能反电子的相对多出(例如由暗物质碰撞所致),而非高能电子损失的重要证明。
对电子流量与反电子流量的新的观测结果也说明了物质(电子)与反物质(反电子)存在着根本的差异。
AMS作为粒子物理探测器,对电子、反电子以及电子与反电子总和进行了独立的测量。在分析了410亿个宇宙射线数据后,AMS测量了电子与反电子总和的流量,在高能量且在很宽的能量范围内,总和流量可以由单一不变的谱指数描述。
反电子分率、各种流量以及总和流量的精密测量是互补的,AMS实验的最新结果使我们对高能宇宙射线的来源有了更深入的了解。

图5 AMS测量的电子与反电子总和流量乘以能量的三次方并显示先前实验的比较
由丁肇中教授领导的AMS项目是目前世界上规模最大的科学项目之一,2011年5月16日由美国“奋进号”航天飞机送入太空,是目前唯一永久安放在国际空间站上的具有开创型的大型科学实验。AMS以探测外层空间反物质、暗物质,以及宇宙射线的起源为目的,由15个国家和地区的600余名科学家历时16年完成。AMS自2011年5月19日安放在国际空间站至今,已探测和分析了超过540亿个宇宙射线,其能量高达数万亿电子伏特。在国际空间站的生命期内,AMS将测量和收集数千亿的初级宇宙射线。
AMS对热环境的要求极其苛刻,各探测器的响应均与温度有关。各探测器的温度在时间和空间上要保持稳定,同时,必须将各探测器所产生的热量只能传递到外层空间,而不能有任何热量辐射到国际空间站的太阳能板和其他部件上。AMS随国际空间站每90分钟绕地球一圈,经历-40℃~+60℃温度周期性变化,极端热环境低温可至-90℃、高温可至+230℃,热系统是AMS各部件正常工作的基础。
山东大学于2004年3月参加AMS项目,由程林教授任AMS热系统总负责人,全面负责AMS热系统的研究、设计、制造与实验。历时7年完成了在国际空间站上运行的粒子探测装置阿尔法磁谱仪的热系统,解决了太空粒子探测的关键工程问题。程林教授针对AMS在面向太阳时外部温度远高于内部温度无法自然散热、背阳时外部温度过低可致其内部元件损毁的温度环境,提出了一种利用周期性大温差变化和大热容介质传热动态特征保持探测器温度平衡的新方法,领导了来自麻省理工学院、瑞士苏黎世高工、美国宇航局等不同单位的三十多位科学家共同工作,保证了系统的高效散热以及温度场的均匀性和稳定性,解决了AMS在国际空间站环境下运行的关键问题,并由此获得美国宇航局的特别嘉奖。
在AMS安放在国际空间站上之后,山东大学继续全面负责热系统运行与监测,进行不间断地记录与检测,所有数据均具有原始性、唯一性、不可替代性。根据太空运行的实际数据,修正和新建了若干热控制模型,以应对不同的极端条件,确保了AMS整体及各探测器温度保持在规定范围之内。
2004年至今,山东大学先后有52人在欧洲核子中心、意大利CGS、欧洲航天技术中心工作,不断为AMS探测器的建造和数据分析做出重要贡献,山东大学的工作是AMS实验成功的关键因素之一。
相关链接:
AMS发布首个实验结果 山大作出重要贡献