[本站讯]近日,山东大学“新疆慕士塔格观测站小光电望远镜阵系统”(以下简称“小光电阵系统”)经专家测试,系统的技术指标、性能指标均达到设计要求,顺利通过验收,标志着“小光电阵系统”完成研制建设,正式投入日常观测运行。

图1:山东大学小光电望远镜阵系统夜间照片

工作人员在新疆慕士塔格安装设备
“小光电阵系统”由空间科学攀登团队实测天体物理课题组胡绍明教授主持,由山东大学、紫金山天文台、新疆天文台共同研制建设。系统安装于中国科学院新疆天文台慕士塔格观测站,该站地处我国最西部的帕米尔高原,海拔4500米,具有优异的光学天文观测条件,如图1所示,望远镜工作时银河清晰可见。在项目研制建设过程中,各单位共同克服边疆野外高海拔难关、协同攻坚,在基础建设、系统设计、控制模式设计、望远镜研制安装、软件开发等方面实现多项突破,实现了“小光电阵系统”的远程自动化观测及自动图像处理。

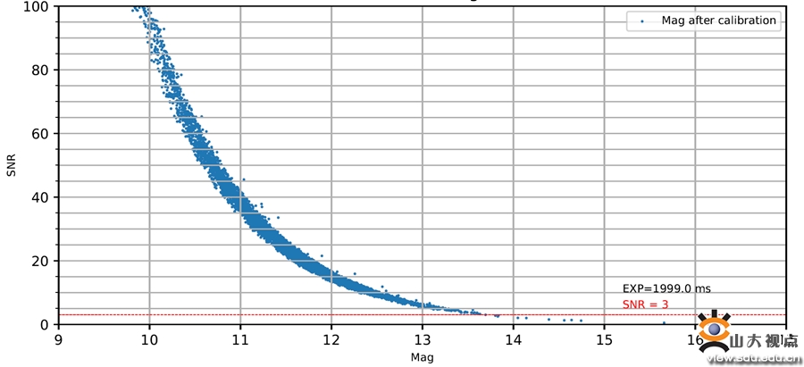
图2:望远镜2秒曝光探测目标亮度与信噪比分布

图3:37秒内观测的10幅图像中搜寻到29个空间碎片(方框内的移动目标)
“小光电阵系统”由4台15厘米口径大视场光学望远镜组成,单台望远镜的视场约为100平方度,配备有多色滤光片,2秒曝光图像观测目标的信噪比与亮度的分布如图2所示,从图中可以看出2秒曝光下极限星等暗达14星等。因为望远镜的视场非常大,如图3所示,其中1台望远镜在总共37秒拍摄的10幅图像中一共观测搜寻到29个空间碎片,可见“小光电阵系统”的空间碎片巡天观测能力非常强。四台望远镜协同工作,能够开展可视天区的快速巡天观测、同一天区的同时性单色和多色观测、空间碎片巡天接力观测等观测任务。
慕士塔格小光电阵野外观测站的建成,将显著提升山东大学中低轨空间碎片监测能力,与山东大学威海天文台的现有设备形成“高中低轨道全覆盖”“东西接力”“东西同时”的联合观测布局,为学校空间碎片的观测研究及空间天文学科建设注入新的动力,更好服务于我国航空航天国家战略需求。